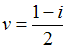
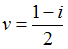
Решение системы уравнений Изображение вопроса Решение системы уравнений  имеет вид …... имеет вид …
• 
• 
• 
• 
Тема: Системы линейных уравнений с комплексными коэффициентами
Предмет: Математика