Математика – страница 20

Неявная функция Изображение вопроса Неявная функция  определяется как решение уравнени... определяется как решение уравнения Изображение вопроса Неявная функция  определяется как решение уравнени.... Тогда производная первого порядка Изображение вопроса Неявная функция  определяется как решение уравнени... при Изображение вопроса Неявная функция  определяется как решение уравнени... равна …

Горизонтальная асимптота графика функции Изображение вопроса Горизонтальная асимптота графика функции  задается... задается уравнением вида …

Приближенное значение функции Изображение вопроса Приближенное значение функции  при , вычисленное с... при Изображение вопроса Приближенное значение функции  при , вычисленное с..., вычисленное с использованием дифференциала первого порядка, равно …



Общий вид частного решения Изображение вопроса Общий вид частного решения  линейного неоднородног... линейного неоднородного дифференциального уравнения второго порядка Изображение вопроса Общий вид частного решения  линейного неоднородног... будет выглядеть как …

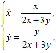
Решение задачи Коши Изображение вопроса Решение задачи Коши  , имеет вид …... Изображение вопроса Решение задачи Коши  , имеет вид …..., имеет вид …

Точечная оценка вероятности биномиально распределенного количественного признака равна 0,38. Тогда его интервальная оценка может иметь вид …



11 Если Изображение вопроса Если , то коэффициент  разложения данной функции в..., то коэффициент Изображение вопроса Если , то коэффициент  разложения данной функции в... разложения данной функции в ряд Тейлора по степеням Изображение вопроса Если , то коэффициент  разложения данной функции в... равен …

Прямые Изображение вопроса Прямые  и  пересекаются в точке, лежащей на оси аб... и Изображение вопроса Прямые  и  пересекаются в точке, лежащей на оси аб... пересекаются в точке, лежащей на оси абсцисс. Тогда эта точка имеет координаты …

Плоскость, проходящая через точки Изображение вопроса Плоскость, проходящая через точки  и  параллельно ... и Изображение вопроса Плоскость, проходящая через точки  и  параллельно ... параллельно оси Изображение вопроса Плоскость, проходящая через точки  и  параллельно ..., задается уравнением …

Расстояние между точками  Изображение вопроса Расстояние между точками   и  равно 2 при , равном... и Изображение вопроса Расстояние между точками   и  равно 2 при , равном... равно 2 при Изображение вопроса Расстояние между точками   и  равно 2 при , равном..., равном …