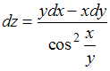
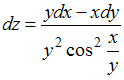
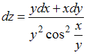
Полный дифференциал функции Изображение вопроса Полный дифференциал функции  имеет вид …... имеет вид …
• 
• 
• 
• 
Тема: Дифференциальное исчисление ФНП
Предмет: Математика