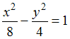
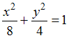
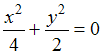
Каноническое уравнение линии пересечения однополостного гиперболоида Изображение вопроса Каноническое уравнение линии пересечения однополос... и плоскости  Изображение вопроса Каноническое уравнение линии пересечения однополос...  имеет вид …
• 
• 
• 
• 
Тема: Поверхности второго порядка
Предмет: Математика