Математика – страница 192
Числовая последовательность задана формулой общего члена
Тогда значение a5 равно …
Тогда значение a5 равно …Дискретная случайная величина X задана законом распределения вероятностей:

Тогда ее математическое ожидание M(X) и дисперсия D(X) равны …

Тогда ее математическое ожидание M(X) и дисперсия D(X) равны …
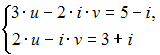
Система
решается матричным способом по формуле
где
B – матрица свободных членов.
Тогда матрица A-1 обратная к матрице системы A имеет вид …
решается матричным способом по формуле
где
B – матрица свободных членов. Тогда матрица A-1 обратная к матрице системы A имеет вид …
Методом Крамера не может быть решена система линейных уравнений …
Модуль скорости точки, совершающей гармонические колебания, с амплитудой
угловой частотой
и начальной фазой
в момент времени
равен …
угловой частотой
и начальной фазой
в момент времени
равен …Комплексное число задано в показательной форме
Тогда его тригонометрическая форма записи имеет вид …
Тогда его тригонометрическая форма записи имеет вид …
Уравнение
решается методом касательных (Ньютона). Один из корней принадлежит интервалу
Тогда первое приближение x1 к точному корню x* будет вычисляться по формуле …
решается методом касательных (Ньютона). Один из корней принадлежит интервалу
Тогда первое приближение x1 к точному корню x* будет вычисляться по формуле …Все точки
комплексной плоскости, принадлежащие множеству D, изображенному на рисунке,

удовлетворяют условию …
комплексной плоскости, принадлежащие множеству D, изображенному на рисунке,
удовлетворяют условию …
Дано комплексное число
Тогда z 4 равно …
Тогда z 4 равно …Если подкасательная в любой точке кривой вдвое меньше углового коэффициента радиуса-вектора точки касания, то уравнение этой кривой будет иметь вид …
равен …
и
проведена биссектриса AM. Тогда координаты точки M равны …
Если векторы
и
то вектор
может иметь вид …
, заданной таблицей,