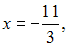
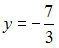
В треугольнике с вершинами
и
проведена биссектриса AM. Тогда координаты точки M равны …
и
проведена биссектриса AM. Тогда координаты точки M равны …•


•


•


•


и
проведена биссектриса AM. Тогда координаты точки M равны …



