Уравнение
решается методом касательных (Ньютона). Один из корней принадлежит интервалу
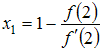
Тогда первое приближение x1 к точному корню x* будет вычисляться по формуле …
решается методом касательных (Ньютона). Один из корней принадлежит интервалу
Тогда первое приближение x1 к точному корню x* будет вычисляться по формуле …• 

• 

• 

• 
