Математика – страница 178
Высказывание «Если небо облачное, то идет дождь, а если небо ясное, то дождя не будет» может быть записано логической формулой …
Функция
задана в параметрическом виде 
Тогда производная первого порядка функции
по переменной x имеет вид …
задана в параметрическом виде 
Тогда производная первого порядка функции
по переменной x имеет вид …Равновесный объем спроса-предложения равен 5, а равновесная цена спроса-предложения равна 3. Тогда функции спроса
и предложения
могут иметь вид …
и предложения
могут иметь вид …Статическая линейная модель межотраслевого баланса Леонтьева представлена системой уравнений:

Тогда матрица коэффициентов прямых затрат равна …

Тогда матрица коэффициентов прямых затрат равна …
Из генеральной совокупности извлечена выборка объема
, полигон относительных частот которой имеет вид:

Тогда статистическое распределение выборки можно определить как …
, полигон относительных частот которой имеет вид:
Тогда статистическое распределение выборки можно определить как …
Выборочное уравнение прямой линии регрессии Y на X имеет вид
Тогда выборочный коэффициент регрессии равен …
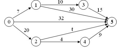
Тогда выборочный коэффициент регрессии равен …Для сетевого графика, изображенного на рисунке,

критический путь имеет вид
Тогда значение параметра t не может быть равно …

критический путь имеет вид
Тогда значение параметра t не может быть равно …Дискретная случайная величина X задана законом распределения вероятностей:

Тогда ее функция распределения вероятностей имеет вид …

Тогда ее функция распределения вероятностей имеет вид …
Студент знает ответы на 15 из 20 вопросов программы. Тогда вероятность того, что студент ответит на все три предложенных ему вопроса, равна …
Случайная величина X распределена нормально с математическим ожиданием
и дисперсией
Тогда ее плотность распределения вероятностей имеет вид …
и дисперсией
Тогда ее плотность распределения вероятностей имеет вид …Игральная кость бросается три раза. Тогда вероятность того, что сумма выпавших очков – шестнадцать, равна …
Студент знает ответы на 15 из 20 вопросов программы. Тогда вероятность того, что студент ответит на один из двух предложенных ему вопросов, равна …
.
является множество …