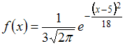
Случайная величина X распределена нормально с математическим ожиданием
и дисперсией
Тогда ее плотность распределения вероятностей имеет вид …
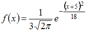
и дисперсией
Тогда ее плотность распределения вероятностей имеет вид …• 

• 

• 

• 

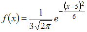
и дисперсией
Тогда ее плотность распределения вероятностей имеет вид …


