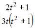
Функция
задана в параметрическом виде 
Тогда производная первого порядка функции
по переменной x имеет вид …
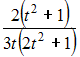
задана в параметрическом виде 
Тогда производная первого порядка функции
по переменной x имеет вид …• 

• 

• 

• 

задана в параметрическом виде 
по переменной x имеет вид …


