Математика – страница 173
Функция
представлена таблицей

Известно, что на отрезке
максимальное значение производной третьего порядка
равно 12. В точке
вычислено значение производной
на основе интерполяционного полинома Лагранжа 2-й степени.
Тогда погрешность (округлённая до двух знаков после запятой) не превышает значения …
представлена таблицей
Известно, что на отрезке
максимальное значение производной третьего порядка
равно 12. В точке
вычислено значение производной
на основе интерполяционного полинома Лагранжа 2-й степени.Тогда погрешность (округлённая до двух знаков после запятой) не превышает значения …
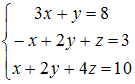
Дана система линейных уравнений
, определитель матрицы которой
. Если ее решение
,
,
найдено по формулам Крамера, где
, то значение выражения
равно …
, определитель матрицы которой
. Если ее решение
,
,
найдено по формулам Крамера, где
, то значение выражения
равно …Имеются высказывания, обозначенные буквами
,
и
. Буквы
и
обозначают истинные высказывания (
,
,
есть истина). Буква
обозначает ложное высказывание (
,
есть ложь). Тогда истинным является высказывание …
,
и
. Буквы
и
обозначают истинные высказывания (
,
,
есть истина). Буква
обозначает ложное высказывание (
,
есть ложь). Тогда истинным является высказывание …Между элементами числовых множеств
и
установлено бинарное отношение
:
, если
,
и число
делит без остатка число
.
Тогда графом этого бинарного отношения является …
и
установлено бинарное отношение
:
, если
,
и число
делит без остатка число
.Тогда графом этого бинарного отношения является …
Если множество А содержит n элементов, то число элементов в множестве всех подмножеств множества А равно …
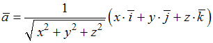
На плоскости определено векторное поле
и задана кривая
соотношением
.
Тогда циркуляция поля
вдоль кривой
в направлении касательного вектора кривой равна …
и задана кривая
соотношением
.Тогда циркуляция поля
вдоль кривой
в направлении касательного вектора кривой равна …В результате измерений некоторой физической величины одним прибором (без систематических ошибок) получены следующие результаты (в мм): 21,3; 24,3; 27,3. Тогда несмещенная оценка дисперсии равна …
,
, где
. Тогда линейная комбинация
равна …
,
,
,
число линейно независимых равно …
в точке
равна …
,
,
, …,
– гармоники.
равен …
ряда Фурье периодической функции
с периодом
, заданной на
формулой
, равен …
,
,
,
. Число функций с наименьшим положительным периодом
среди заданных равно …