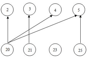
Между элементами числовых множеств
и
установлено бинарное отношение
:
, если
,
и число
делит без остатка число
.
Тогда графом этого бинарного отношения является …
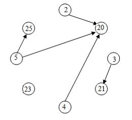
и
установлено бинарное отношение
:
, если
,
и число
делит без остатка число
.Тогда графом этого бинарного отношения является …
• 

• 

• 

• 
