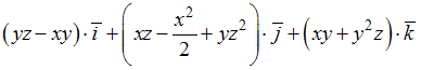
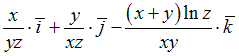
Соленоидальным не является векторное поле …
• 
• 
• 
• 
Тема: Скалярные и векторные поля
Предмет: Математика