Математика – страница 152


Радиус сходимости степенного ряда Изображение вопроса Радиус сходимости степенного ряда  равен 12. Тогда... равен 12. Тогда интервал сходимости имеет вид …

Образом отрезка Изображение вопроса Образом отрезка  при отображении  является …... при отображении Изображение вопроса Образом отрезка  при отображении  является …... является …

Правильную рациональную дробь Изображение вопроса Правильную рациональную дробь  можно представить в... можно представить в виде суммы простейших дробей …

Норма вектора Изображение вопроса Норма вектора  в пространстве  равна …... в пространстве Изображение вопроса Норма вектора  в пространстве  равна …... равна …

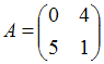
Даны матрицы Изображение вопроса Даны матрицы  и . Тогда решением матричного уравне... и Изображение вопроса Даны матрицы  и . Тогда решением матричного уравне.... Тогда решением матричного уравнения Изображение вопроса Даны матрицы  и . Тогда решением матричного уравне... является матрица …

Нормальный вектор плоскости Изображение вопроса Нормальный вектор плоскости  имеет координаты R... имеет координаты …

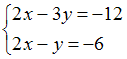
8 Если Изображение вопроса Если  – решение системы линейных уравнений ,... – решение системы линейных уравнений Изображение вопроса Если  – решение системы линейных уравнений ,..., тогда Изображение вопроса Если  – решение системы линейных уравнений ,... равно …

Векторное произведение векторов Изображение вопроса Векторное произведение векторов  и  равно нулю, ес... и Изображение вопроса Векторное произведение векторов  и  равно нулю, ес... равно нулю, если …


Точечная оценка математического ожидания нормального распределения равна 14. Тогда его интервальная оценка может иметь вид …



Уравнение прямой, проходящей через точку Изображение вопроса Уравнение прямой, проходящей через точку  перпенди... перпендикулярно плоскости Изображение вопроса Уравнение прямой, проходящей через точку  перпенди..., имеет вид …

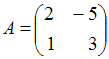
15 Если Изображение вопроса Если  и , то матрица  имеет вид …... и Изображение вопроса Если  и , то матрица  имеет вид …..., то матрица Изображение вопроса Если  и , то матрица  имеет вид …... имеет вид …