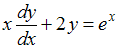
Из данных дифференциальных уравнений линейными неоднородными уравнениями 1-го порядка являются …
• 
• 
• 
• 
Тема: Типы дифференциальных уравнений
Предмет: Математика