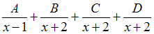
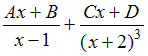
Правильную рациональную дробь Изображение вопроса Правильную рациональную дробь  можно представить в... можно представить в виде суммы простейших дробей …
• 
• 
• 
• 
Тема: Основные методы интегрирования
Предмет: Математика