Математика – страница 140
Вероятность поражения цели первым стрелком равна 0,9, а вторым – 0,85. Оба стрелка стреляют одновременно. Тогда вероятность поражения цели, равна …
Из генеральной совокупности извлечена выборка объема
, полигон относительных частот которой имеет вид:

Тогда число вариант
в выборке равно …
, полигон относительных частот которой имеет вид:
Тогда число вариант
в выборке равно …Выборочное уравнение прямой линии регрессии
на
имеет вид
, а выборочные средние квадратические отклонения равны:
. Тогда выборочный коэффициент корреляции
равен …
на
имеет вид
, а выборочные средние квадратические отклонения равны:
. Тогда выборочный коэффициент корреляции
равен …Точка перегиба графика функции
имеет вид …
имеет вид …Для определенного интеграла
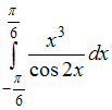
справедливо равенство …
справедливо равенство …Имеются восемь урн, содержащих по 5 белых и 5 черных шаров, и двенадцать урн, содержащих по 6 белых и 4 черных шара. Из наудачу взятой урны вытаскивается один шар, который оказался белым. Тогда вероятность того, что этот шар был вынут из второй серии урн, равна …
В результате многолетних наблюдений в некоторой местности установлено, что вероятность выпадения дождя в течение суток равна 2/7. Кроме того, замечено, что если в какой-то день дождь шел, то с вероятностью 5/9 он будет идти и на следующий день.
Если событие А – сегодня шел дождь, событие В – завтра дождя не будет, а событие
– условная вероятность события В, при условии, что событие А произошло, то верным является соотношение …
Если событие А – сегодня шел дождь, событие В – завтра дождя не будет, а событие
– условная вероятность события В, при условии, что событие А произошло, то верным является соотношение …В результате многолетних наблюдений в некоторой местности установлено, что вероятность выпадения дождя в течение суток равна 2/7. Кроме того, замечено, что если в какой-то день дождь шел, то с вероятностью 5/9 он будет идти и на следующий день.
Пусть
– вероятность того, что завтра будет ясно, если сегодня дождя не было. Тогда значение выражения
равно …
Пусть
– вероятность того, что завтра будет ясно, если сегодня дождя не было. Тогда значение выражения
равно …Даны два вектора:
и
, где
,
, угол между векторами
и
равен
. Тогда модуль векторного произведения векторов
и
будет равен …
и
, где
,
, угол между векторами
и
равен
. Тогда модуль векторного произведения векторов
и
будет равен …Среди представленных множеств линейное пространство не образует …
Общий член числовой последовательности
имеет вид …
имеет вид …Вероятность поражения цели первым стрелком равна 0,95, а вторым – 0,80. Оба стрелка стреляют одновременно. Тогда вероятность того, что цель будет поражена только одним стрелком, равна …
,
и
. Смешанное произведение
. Тогда значение
равно …
и
. Тогда решением уравнения
является матрица
, равная …
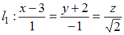
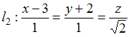
и
равен …