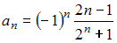
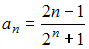
Общий член числовой последовательности  Изображение вопроса Общий член числовой последовательности   имеет вид... имеет вид …
• 
• 
• 
• 
Тема: Числовые ряды
Предмет: Математика