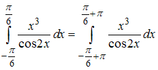
Для определенного интеграла Изображение вопроса Для определенного интеграла  справедливо равенство... справедливо равенство …
• 
• 
• 
• 
Тема: Интегральное исчисление
Предмет: Математика