Математика – страница 133
Общее решение дифференциального уравнения
имеет вид …
имеет вид …Во время весеннего паводка изменение объема поступающей в озеро воды в течение суток можно описать уравнением
где
– объем поступившей в озеро воды (в
) за время
(в часах), 
Для того чтобы уровень воды в озере не превысил предельный уровень, оборудован сток воды из озера с постоянной скоростью 58
В момент времени
объем воды в озере составил 30000 
Если
– объем воды в озере в момент времени
, то математическая модель для нахождения
может иметь вид …
где
– объем поступившей в озеро воды (в
) за время
(в часах), 
Для того чтобы уровень воды в озере не превысил предельный уровень, оборудован сток воды из озера с постоянной скоростью 58

В момент времени
объем воды в озере составил 30000 
Если
– объем воды в озере в момент времени
, то математическая модель для нахождения
может иметь вид …Во время весеннего паводка изменение объема поступающей в озеро воды в течение суток можно описать уравнением
где
– объем поступившей в озеро воды (в
) за время
(в часах), 
Для того чтобы уровень воды в озере не превысил предельный уровень, оборудован сток воды из озера с постоянной скоростью 58
В момент времени
объем воды в озере составил 30000 
Установите соответствие между временем
и объемом воды в озере
.
1. Объем воды в озере в момент времени
часов
2. Объем воды в озере в момент времени
часов
где
– объем поступившей в озеро воды (в
) за время
(в часах), 
Для того чтобы уровень воды в озере не превысил предельный уровень, оборудован сток воды из озера с постоянной скоростью 58

В момент времени
объем воды в озере составил 30000 
Установите соответствие между временем
и объемом воды в озере
. 1. Объем воды в озере в момент времени
часов2. Объем воды в озере в момент времени
часовВероятности того, что произвольная деталь окажется бракованной в результате предварительных механической и термической обработки, равны соответственно 0,25 и 0,2. Вероятности того, что этот брак можно устранить путем дополнительной обработки, соответственно равны 0,6 и 0,5.
Если событие А – деталь окажется бракованной в результате предварительной механической обработки, событие В – деталь окажется бракованной в результате предварительной термической обработки, а событие C – деталь после предварительной обработки имеет устранимый брак, то верным является соотношение …
Если событие А – деталь окажется бракованной в результате предварительной механической обработки, событие В – деталь окажется бракованной в результате предварительной термической обработки, а событие C – деталь после предварительной обработки имеет устранимый брак, то верным является соотношение …
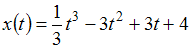
Материальная точка движется прямолинейно по закону
. Тогда ускорение точки равно 4 в момент времени …
. Тогда ускорение точки равно 4 в момент времени …Минимум функции
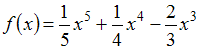
равен …
равен …В полярной системе координат уравнение кривой имеет вид
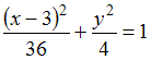
. Тогда эта кривая определяет …
. Тогда эта кривая определяет …Не является непрерывной на отрезке
функция …
функция …
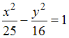
и гиперболы
имеет координаты …
на вектор
равна …
на ось
, имеет вид …
и
, равен …
и
пересекаются в точках с абсциссой, равной …
,
и
равно 2. Тогда смешанное произведение векторов
,
и
равно …