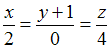
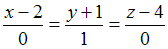
Уравнение перпендикуляра, опущенного из точки Изображение вопроса Уравнение перпендикуляра, опущенного из точки  на ... на ось Изображение вопроса Уравнение перпендикуляра, опущенного из точки  на ..., имеет вид …
• 
• 
• 
• 
Тема: Прямая линия в пространстве
Предмет: Математика