Математика – страница 132
Множество первообразных функции
имеет вид …
имеет вид …Определенный интеграл
равен …
равен …Решение задачи Коши
, имеет вид …
, имеет вид …Общий вид частного решения
линейного неоднородного дифференциального уравнения второго порядка
будет выглядеть как …
линейного неоднородного дифференциального уравнения второго порядка
будет выглядеть как …Собирается партия исправных изделий с двух предприятий. Первое предприятие поставляет 60% всех изделий, а второе – 40%. Вероятность исправной работы изделия первого предприятия равна 0,9, второго – 0,8. Тогда вероятность того, что случайно взятое изделие будет работать исправно, равна …
Непрерывная случайная величина
задана плотностью распределения вероятностей:

Тогда значение параметра
равно …
задана плотностью распределения вероятностей:
Тогда значение параметра
равно …Проведено пять измерений (без систематических ошибок) некоторой случайной величины (в мм): 5, 6, 7, 8, 10. Тогда несмещенная оценка математического ожидания равна …
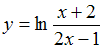
Точка
задана в прямоугольной системе координат. Тогда ее полярные координаты равны …
задана в прямоугольной системе координат. Тогда ее полярные координаты равны …Производная функции
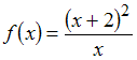
равна …
равна …
на отрезке
равно …
функции
имеет вид …
,
.
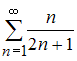
вычислен предел
. Тогда интервал сходимости данного ряда имеет вид …
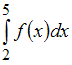
непрерывна на отрезке
, то интеграл
можно представить в виде …