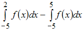
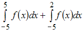
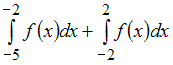
Если функция Изображение вопроса Если функция  непрерывна на отрезке , то интеграл ... непрерывна на отрезке Изображение вопроса Если функция  непрерывна на отрезке , то интеграл ..., то интеграл Изображение вопроса Если функция  непрерывна на отрезке , то интеграл ... можно представить в виде …
• 
• 
• 
• 
Тема: Интегральное исчисление
Предмет: Математика