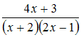
Производная функции Изображение вопроса Производная функции  равна …... равна …
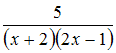
• 
• 
• 
• 
Тема: Дифференциальное исчисление функций одной и нескольких переменных
Предмет: Математика