Математика – страница 13


Если миноры матрицы Изображение вопроса Если миноры матрицы , составленные из элементов, р..., составленные из элементов, расположенных в левом верхнем углу последовательно равны Изображение вопроса Если миноры матрицы , составленные из элементов, р..., Изображение вопроса Если миноры матрицы , составленные из элементов, р..., Изображение вопроса Если миноры матрицы , составленные из элементов, р..., то ее ранг равен …

Матрица инцидентности Изображение вопроса Матрица инцидентности  соответствует графу …... соответствует графу …


Произведение матрицы Изображение вопроса Произведение матрицы  размерностью 1×3... размерностью 1×3 на матрицу Изображение вопроса Произведение матрицы  размерностью 1×3... существует, если размерность матрицы Изображение вопроса Произведение матрицы  размерностью 1×3... равна …

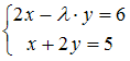
Система линейных уравнений Изображение вопроса Система линейных уравнений  не имеет решений, если... не имеет решений, если Изображение вопроса Система линейных уравнений  не имеет решений, если... равно …

Дан доверительный интервал Изображение вопроса Дан доверительный интервал  для оценки математичес... для оценки математического ожидания нормально распределенного количественного признака. Тогда точность этой оценки равна …

Точечная оценка математического ожидания нормально распределенного количественного признака равна Изображение вопроса Точечная оценка математического ожидания нормально... Тогда его интервальная оценка с точностью Изображение вопроса Точечная оценка математического ожидания нормально... имеет вид …


Из урны, в которой находятся 7 черных и 3 белых шаров, вынимают одновременно 2 шара. Тогда вероятность того, что оба шара будут черными, равна …

Дана матрица Изображение вопроса Дана матрица  Если  то матрица  равна …... Если Изображение вопроса Дана матрица  Если  то матрица  равна …... то матрица Изображение вопроса Дана матрица  Если  то матрица  равна …... равна …

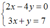
Система линейных уравнений Изображение вопроса Система линейных уравнений  не имеет решений, если... не имеет решений, если Изображение вопроса Система линейных уравнений  не имеет решений, если... равно …


14 Если Изображение вопроса Если  и  являются решением системы линейных уравне... и Изображение вопроса Если  и  являются решением системы линейных уравне... являются решением системы линейных уравнений Изображение вопроса Если  и  являются решением системы линейных уравне..., то их разность Изображение вопроса Если  и  являются решением системы линейных уравне... равна …

Дан доверительный интервал Изображение вопроса Дан доверительный интервал  для оценки математичес... для оценки математического ожидания нормально распределенного количественного признака. Тогда точечная оценка математического ожидания равна …