Из урны, в которой находятся 7 черных и 3 белых шаров, вынимают одновременно 2 шара. Тогда вероятность того, что оба шара будут черными, равна …
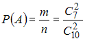
•
, где
– общее число возможных элементарных исходов;
– число элементарных исходов, благоприятствующих искомому событию
;
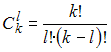
– число сочетаний из k элементов по l элементов.
• 

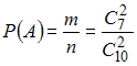
•
, где
– общее число возможных элементарных исходов;
– число элементарных исходов, благоприятствующих искомому событию
;
– число сочетаний из k элементов по l элементов.
•
, где
– общее число возможных элементарных исходов;
– число элементарных исходов, благоприятствующих искомому событию
;
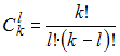
– число сочетаний из k элементов по l элементов.