Математика – страница 127
Предприятие, специализирующееся на производстве верхней одежды, для производства пальто, плащей и курток использует сырье трех типов:
и
Нормы расхода каждого из них на производство единицы продукции каждого вида и объем расхода сырья за 1 день заданы таблицей:

Пусть ежедневный объем выпуска пальто, плащей и курток составляет
и
соответственно, тогда математическая модель для нахождения ежедневного выпуска каждого вида верхней одежды может иметь вид …
и
Нормы расхода каждого из них на производство единицы продукции каждого вида и объем расхода сырья за 1 день заданы таблицей:
Пусть ежедневный объем выпуска пальто, плащей и курток составляет
и
соответственно, тогда математическая модель для нахождения ежедневного выпуска каждого вида верхней одежды может иметь вид …Предприятие, специализирующееся на производстве верхней одежды, для производства пальто, плащей и курток использует сырье трех типов:
и
Нормы расхода каждого из них на производство единицы продукции каждого вида и объем расхода сырья за 1 день заданы таблицей:

Установите соответствие между видом изделия и ежедневным объемом его выпуска.
1. Ежедневный объем выпуска пальто
2. Ежедневный объем выпуска плащей
3. Ежедневный объем выпуска курток
и
Нормы расхода каждого из них на производство единицы продукции каждого вида и объем расхода сырья за 1 день заданы таблицей:
Установите соответствие между видом изделия и ежедневным объемом его выпуска.
1. Ежедневный объем выпуска пальто
2. Ежедневный объем выпуска плащей
3. Ежедневный объем выпуска курток
Предприятие производит изделия двух видов –
и использует для этого сырье двух типов –
Нормы затраты сырья на единицу продукции каждого вида и объем расхода за 1 день заданы таблицей:

Пусть ежедневный объем выпуска изделий
и
составляет
и
соответственно, тогда математическая модель для нахождения ежедневного выпуска каждого вида изделий может иметь вид …
и использует для этого сырье двух типов –
Нормы затраты сырья на единицу продукции каждого вида и объем расхода за 1 день заданы таблицей:
Пусть ежедневный объем выпуска изделий
и
составляет
и
соответственно, тогда математическая модель для нахождения ежедневного выпуска каждого вида изделий может иметь вид …Предприятие производит изделия двух видов –
и использует для этого сырье двух типов –
Нормы затраты сырья на единицу продукции каждого вида и объем расхода за 1 день заданы таблицей:

Установите соответствие между видом изделия и ежедневным объемом его выпуска.
1. Ежедневный объем выпуска изделий
2. Ежедневный объем выпуска изделий
и использует для этого сырье двух типов –
Нормы затраты сырья на единицу продукции каждого вида и объем расхода за 1 день заданы таблицей:
Установите соответствие между видом изделия и ежедневным объемом его выпуска.
1. Ежедневный объем выпуска изделий

2. Ежедневный объем выпуска изделий

Известно, что уравнение параболы имеет вид
Тогда уравнением параболы, изображенной на чертеже,

является …
Тогда уравнением параболы, изображенной на чертеже,
является …
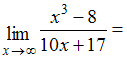
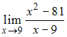
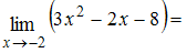
9
…
…10
…
…11
…
…12
равен …
равен …Пусть
тогда это множество, заданное перечислением всех его элементов, имеет вид …
тогда это множество, заданное перечислением всех его элементов, имеет вид …Имеются два ящика с деталями. Вероятность вынуть бракованную деталь из первого ящика равна
. Вероятность вынуть бракованную деталь из второго ящика равна
. Наугад вынимают по одной детали из каждого ящика.
Вероятность того, что обе детали окажутся бракованными, равна …
. Вероятность вынуть бракованную деталь из второго ящика равна
. Наугад вынимают по одной детали из каждого ящика.Вероятность того, что обе детали окажутся бракованными, равна …
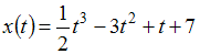
. Тогда ускорение точки в момент времени
равно …
,
,
и
. Тогда скалярное произведение векторов
и
будет равно …
. Тогда смешанное произведение векторов
равно …
задана на отрезке 
