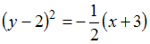
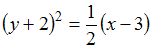
Известно, что уравнение параболы имеет вид Изображение вопроса Известно, что уравнение параболы имеет вид  Тогда ... Тогда уравнением параболы, изображенной на чертеже,
Изображение вопроса Известно, что уравнение параболы имеет вид  Тогда ...
является …
• 
• 
• 
• 
Тема: Кривые второго порядка
Предмет: Математика