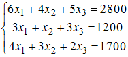
Предприятие, специализирующееся на производстве верхней одежды, для производства пальто, плащей и курток использует сырье трех типов:
и
Нормы расхода каждого из них на производство единицы продукции каждого вида и объем расхода сырья за 1 день заданы таблицей:

Пусть ежедневный объем выпуска пальто, плащей и курток составляет
и
соответственно, тогда математическая модель для нахождения ежедневного выпуска каждого вида верхней одежды может иметь вид …
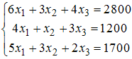
и
Нормы расхода каждого из них на производство единицы продукции каждого вида и объем расхода сырья за 1 день заданы таблицей:
Пусть ежедневный объем выпуска пальто, плащей и курток составляет
и
соответственно, тогда математическая модель для нахождения ежедневного выпуска каждого вида верхней одежды может иметь вид …• 

• 

• 

• 
