Математика – страница 125
Ребро куба
равно 14.

Вершина куба O совпадает с началом координат. Ребра, исходящие из этой вершины, лежат на осях координат, как изображено на рисунке. X − середина ребра
Установите соответствие между точками данного куба и их координатами.
1.
2.
3.
4.
равно 14.
Вершина куба O совпадает с началом координат. Ребра, исходящие из этой вершины, лежат на осях координат, как изображено на рисунке. X − середина ребра
Установите соответствие между точками данного куба и их координатами.1.

2.

3.

4.

Матрице смежности
соответствует граф …
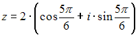
соответствует граф …Комплексное число задано в тригонометрической форме
. Тогда его алгебраическая форма записи имеет вид …
. Тогда его алгебраическая форма записи имеет вид …Все точки
комплексной плоскости, принадлежащие множеству
, изображенному на рисунке:

удовлетворяют условию …
комплексной плоскости, принадлежащие множеству
, изображенному на рисунке:
удовлетворяют условию …
Обувная фабрика специализируется по выпуску изделий трех видов: сапог, кроссовок и ботинок. При этом используется сырье трех типов:
Нормы расхода каждого из них на одну пару обуви и объем расхода сырья на 1 день заданы таблицей:

Пусть ежедневный объем выпуска сапог, кроссовок и ботинок составляет
и
соответственно, тогда математическая модель для нахождения ежедневного выпуска каждого вида обуви может иметь вид …
Нормы расхода каждого из них на одну пару обуви и объем расхода сырья на 1 день заданы таблицей:
Пусть ежедневный объем выпуска сапог, кроссовок и ботинок составляет
и
соответственно, тогда математическая модель для нахождения ежедневного выпуска каждого вида обуви может иметь вид …
имеет вид …
равно …
и
равна …
равен …
решение системы
в матричной форме имеет вид …
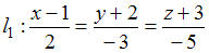
и
перпендикулярны при значении m, равном …
и
…
,
и
равен …
образует с осью
угол, равный
, в точке …