Обувная фабрика специализируется по выпуску изделий трех видов: сапог, кроссовок и ботинок. При этом используется сырье трех типов:
Нормы расхода каждого из них на одну пару обуви и объем расхода сырья на 1 день заданы таблицей:

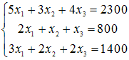
Пусть ежедневный объем выпуска сапог, кроссовок и ботинок составляет
и
соответственно, тогда математическая модель для нахождения ежедневного выпуска каждого вида обуви может иметь вид …
Нормы расхода каждого из них на одну пару обуви и объем расхода сырья на 1 день заданы таблицей:
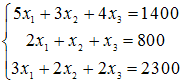
Пусть ежедневный объем выпуска сапог, кроссовок и ботинок составляет
и
соответственно, тогда математическая модель для нахождения ежедневного выпуска каждого вида обуви может иметь вид …• 

• 

• 

• 
