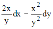
Полный дифференциал первого порядка функции Изображение вопроса Полный дифференциал первого порядка функции  равен... равен …
• 
• 
• 
• 
Тема: Частные производные 1-го порядка
Предмет: Математика