Математика – страница 107
Операция нахождения разности квадратов является бинарной алгебраической операцией на множестве …
Имеются 5 урн, содержащих по 5 белых и 5 черных шаров; 3 урны, содержащие по 6 белых шаров и по 4 черных шара; и 2 урны, содержащие по 4 белых шара и по 6 черных шаров. Вынутый из наудачу взятой урны шар оказался белым. Тогда вероятность того, что этот шар вынут из третьей серии урн, равна …
Даны две точки
и
своими радиус-векторами
и
соответственно.
Тогда уравнение плоскости, проходящей через середину отрезка
к нему перпендикулярно, в векторной форме имеет вид …
и
своими радиус-векторами
и
соответственно. Тогда уравнение плоскости, проходящей через середину отрезка
к нему перпендикулярно, в векторной форме имеет вид …Уравнение
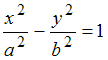
определяет гиперболу с центром в точке …
определяет гиперболу с центром в точке …Какие из следующих условий одновременно выполняются для функции
, заданной на отрезке
:
1)
;
2)
;
3)
;
4)
.

, заданной на отрезке
:1)
;2)
;3)
;4)
.
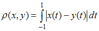
Из указанных метрических пространств:
– множество всех непрерывных действительных функций, определенных на отрезке
с расстоянием
;
– множество всех непрерывно дифференцируемых действительных функций, определенных на отрезке
с расстоянием
;
– пространство, точками которого служат всевозможные последовательности
действительных чисел, удовлетворяющие условию
, а расстояние определяется формулой
;
– множество всех непрерывно дифференцируемых действительных функций, определенных на отрезке
с расстоянием
, – полными являются …
– множество всех непрерывных действительных функций, определенных на отрезке
с расстоянием
;
– множество всех непрерывно дифференцируемых действительных функций, определенных на отрезке
с расстоянием
;
– пространство, точками которого служат всевозможные последовательности
действительных чисел, удовлетворяющие условию
, а расстояние определяется формулой
;
– множество всех непрерывно дифференцируемых действительных функций, определенных на отрезке
с расстоянием
, – полными являются …Парой логических форм Х и Y, в которой формы логически эквивалентны, является …
Даны:
1) множества
и
;
2) отображения
и
, причём отображения определяются следующим образом:

и
.
Тогда композиция
(сначала
, а потом
) отображений
и
есть отображение …
1) множества
и
;2) отображения
и
, причём отображения определяются следующим образом:
и
.Тогда композиция
(сначала
, а потом
) отображений
и
есть отображение …Неопределенный интеграл
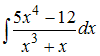
равен …
равен …Дано уравнение гиперболы
. Тогда ее полярное уравнение при условии, что направление полярной оси совпадает с положительным направлением оси абсцисс, а полюс находится в центре гиперболы, имеет вид …
. Тогда ее полярное уравнение при условии, что направление полярной оси совпадает с положительным направлением оси абсцисс, а полюс находится в центре гиперболы, имеет вид …Игральная кость бросается два раза. Тогда вероятность того, что сумма выпавших очков будет больше десяти, равна …
,
и
, равен …
, равна …
линейного неоднородного дифференциального уравнения
имеет вид…
. Тогда обратная матрица
равна …