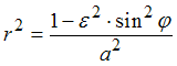
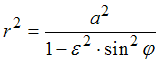
Дано уравнение гиперболы
. Тогда ее полярное уравнение при условии, что направление полярной оси совпадает с положительным направлением оси абсцисс, а полюс находится в центре гиперболы, имеет вид …
. Тогда ее полярное уравнение при условии, что направление полярной оси совпадает с положительным направлением оси абсцисс, а полюс находится в центре гиперболы, имеет вид …• 

• 

• 

• 
