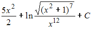
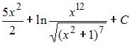
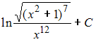
Неопределенный интеграл Изображение вопроса Неопределенный интеграл  равен …... равен …
• 
• 
• 
• 
Тема: Основные методы интегрирования
Предмет: Математика