Математика – страница 102
Определитель
после приведения к треугольному виду и применения теоремы Лапласа к первому столбцу может быть записан в виде …
после приведения к треугольному виду и применения теоремы Лапласа к первому столбцу может быть записан в виде …Функция
определена на промежутке
. На рисунке изображен график ее производной.

Тогда функция
убывает на промежутке …
определена на промежутке
. На рисунке изображен график ее производной.
Тогда функция
убывает на промежутке …Точка
служит основанием перпендикуляра, опущенного из начала координат на прямую линию.
Тогда уравнение этой прямой имеет вид …
служит основанием перпендикуляра, опущенного из начала координат на прямую линию. Тогда уравнение этой прямой имеет вид …
Известно, что точка
лежит на оси ординат и равноудалена от точек
и
. Тогда точка М имеет координаты …
лежит на оси ординат и равноудалена от точек
и
. Тогда точка М имеет координаты …Множество первообразных функции
описывается соотношением …
описывается соотношением …Пусть
– симметрическая группа, построенная на базе множества
. Бинарная операция в этой группе обозначена символом
.
Если
и
, а
, то произведение
равно …
– симметрическая группа, построенная на базе множества
. Бинарная операция в этой группе обозначена символом
.Если
и
, а
, то произведение
равно …
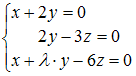
несовместна, если
равно …
равен …
и
равен…
имеет бесконечное число решений при
, равном …
в точке
в направлении, идущем от этой точки к точке
, равна …
параллельно прямой
, имеет вид …
на отрезке
равна …
, то решение системы линейных уравнений
методом Крамера можно представить в виде …