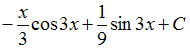
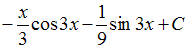
Множество первообразных функции Изображение вопроса Множество первообразных функции  описывается соотн... описывается соотношением …
• 
• 
• 
• 
Тема: Основные методы интегрирования
Предмет: Математика