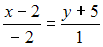
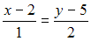
Каноническое уравнение прямой линии, проходящей через точку Изображение вопроса Каноническое уравнение прямой линии, проходящей че... параллельно прямой Изображение вопроса Каноническое уравнение прямой линии, проходящей че..., имеет вид  …
• 
• 
• 
• 
Тема: Прямая на плоскости
Предмет: Математика