Математика – страница 100
Скалярное произведение векторов
и
равно 5, угол между векторами равен
, норма вектора
равна 2. Тогда норма вектора
равна …
и
равно 5, угол между векторами равен
, норма вектора
равна 2. Тогда норма вектора
равна …В линейном пространстве
операции сложения и умножения на действительное число обладают свойством …
операции сложения и умножения на действительное число обладают свойством …5 Если
и
– ортогональные векторы из евклидова пространства со стандартным скалярным произведением, такие что
,
, то норма вектора
равна …
и
– ортогональные векторы из евклидова пространства со стандартным скалярным произведением, такие что
,
, то норма вектора
равна …Изображение функции
имеет вид …
имеет вид …Дана система дифференциальных уравнений:
при
.
Тогда соответствующая система операторных уравнений имеет вид …
при
.Тогда соответствующая система операторных уравнений имеет вид …
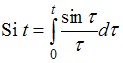
Изображение интегрального синуса
имеет вид …
имеет вид …Норма вектора
в евклидовом пространстве со стандартным скалярным произведением равна …
в евклидовом пространстве со стандартным скалярным произведением равна …
и
. Тогда матрица
равна …
и
, угол между которыми равен
. Тогда проекция вектора
на вектор
равна …
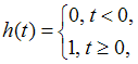
является изображением оригинала
, то оригиналом изображения
является …
,
,
, имеет вид …
,
имеет вид …
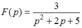
является изображением, то оригинал
имеет вид …
, 
