Дана система дифференциальных уравнений:
Изображение вопроса Дана система дифференциальных уравнений: 
  при . ... при Изображение вопроса Дана система дифференциальных уравнений: 
  при . ....
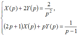
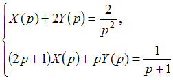
Тогда соответствующая система операторных уравнений имеет вид …
• 
• 
• 
• 
Тема: Операторный метод решения систем дифференциальных уравнений
Предмет: Математика