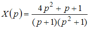
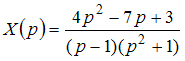
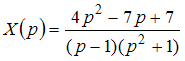
Операторное решение дифференциального уравнения Изображение вопроса Операторное решение дифференциального уравнения , ..., Изображение вопроса Операторное решение дифференциального уравнения , ..., Изображение вопроса Операторное решение дифференциального уравнения , ..., имеет вид …
• 
• 
• 
• 
Тема: Операторный метод решения дифференциальных уравнений
Предмет: Математика