Математика и информатика – страница 53
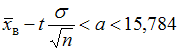
Для оценки с надежностью
математического ожидания
нормально распределенного признака
по выборочной средней
при среднем квадратичном отклонении
генеральной совокупности использовали доверительный интервал
, где
– значение аргумента функции Лапласа
, при котором
,
– объем выборки. Значение аргумента функции Лапласа для
равно
.
Установите соответствие между значениями
и
и соответствующим доверительными интервалами.
1.
и 
2.
и 
математического ожидания
нормально распределенного признака
по выборочной средней
при среднем квадратичном отклонении
генеральной совокупности использовали доверительный интервал
, где
– значение аргумента функции Лапласа
, при котором
,
– объем выборки. Значение аргумента функции Лапласа для
равно
.Установите соответствие между значениями
и
и соответствующим доверительными интервалами.1.
и 
2.
и 
Решениями дифференциального уравнения
являются функции …
являются функции …Значение
имеет предел …
имеет предел …Подстановка
позволяет привести к табличному интеграл …
позволяет привести к табличному интеграл …Функция
не является решением дифференциальных уравнений …
не является решением дифференциальных уравнений …Для оценки с надежностью
математического ожидания
нормально распределенного признака
по выборочной средней
при среднем квадратичном отклонении
генеральной совокупности использовали доверительный интервал
, где
– значение аргумента функции Лапласа
, при котором
,
– объем выборки. Значение аргумента функции Лапласа для
равно
.
Установите соответствие между доверительными интервалами и средними квадратичными отклонениями
, по которым они получены:
1)
,
2)
.
математического ожидания
нормально распределенного признака
по выборочной средней
при среднем квадратичном отклонении
генеральной совокупности использовали доверительный интервал
, где
– значение аргумента функции Лапласа
, при котором
,
– объем выборки. Значение аргумента функции Лапласа для
равно
.Установите соответствие между доверительными интервалами и средними квадратичными отклонениями
, по которым они получены:1)
,2)
.В поисковых запросах кавычки вида « » или “ ” применяются для поиска документов, в которых содержатся …
13
– множество натуральных чисел,
– множество целых чисел,
– множество рациональных чисел,
– множество действительных чисел.

Тогда истинно следующее высказывание:
– множество натуральных чисел,
– множество целых чисел,
– множество рациональных чисел,
– множество действительных чисел.
Тогда истинно следующее высказывание:
Даны высказывания: А = «Озеро Байкал является самым чистым озером в мире» и В = «Чайковский написал 10 опер». Дизъюнкцией этих высказываний является предложение…
Вероятность наступления некоторого события не может быть равна ...
получится в результате замены переменной
из интеграла …
и
составит …
» в двоичной записи числа
равно …