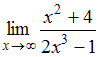
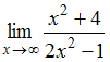
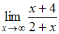
Значение Изображение вопроса Значение  имеет предел …... имеет предел …
• 
• 
• 
• 
Тема: Предел функции в точке. Свойства пределов функции
Предмет: Математика и информатика