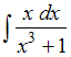
Подстановка Изображение вопроса Подстановка  позволяет привести к табличному интег... позволяет привести к табличному интеграл …
• 
• 
• 
• 
Тема: Замена переменной в неопределенном интеграле
Предмет: Математика и информатика