Математика и информатика – страница 29
Считая, что каждый символ кодируется одним байтом, информационный объем сообщения: «Торопыжка был голодный, проглотил утюг холодный!» составляет …
Отрезок
принадлежит области определения функции …
принадлежит области определения функции …Производная функции
имеет вид …
имеет вид …Определенный интеграл
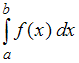
численно равен площади фигуры, изображенной на рисунке …
численно равен площади фигуры, изображенной на рисунке …В точке
имеет разрыв второго рода функция …
имеет разрыв второго рода функция …Уравнение
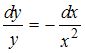
с разделенными переменными можно получить из уравнения …
с разделенными переменными можно получить из уравнения …Интервал
является областью значений функции …
является областью значений функции …Набор микросхем, управляющих работой внутренних устройств компьютера и определяющих основные функциональные возможности материнской платы, называется …
Устройство на материнской плате, в котором хранятся изменяемые параметры процессора, памяти, периферийного оборудования, в частности системное время, называется …
Джон фон Нейман упоминается во всех источниках по истории вычислительной техники по причине того, что …
Память в компьютере выделяется ячейками объемом в один байт. Тогда для размещения в компьютере сообщения, состоящего из
бит, потребуется выделить память объемом …
бит, потребуется выделить память объемом …
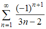
этих рядов.

