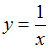
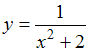
В точке Изображение вопроса В точке  имеет разрыв второго рода функция …... имеет разрыв второго рода функция …
• 
• 
• 
• 
Тема: Непрерывность функции, точки разрыва
Предмет: Математика и информатика