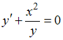
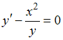
Уравнение Изображение вопроса Уравнение  с разделенными переменными можно получи... с разделенными переменными можно получить из уравнения …
• 
• 
• 
• 
Тема: Дифференциальные уравнения с разделяющимися переменными
Предмет: Математика и информатика