Математический анализ – страница 6
1 Кейс-задания: Кейс 1 подзадача 2
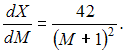
При доходе потребителя, равном M = 6 у.е., потребление некоторого блага составляет X = 45 ед. Известно, что скорость изменения спроса по доходу равна
Объем спроса при M = 5 равен …
При доходе потребителя, равном M = 6 у.е., потребление некоторого блага составляет X = 45 ед. Известно, что скорость изменения спроса по доходу равна

Объем спроса при M = 5 равен …
2 Кейс-задания: Кейс 1 подзадача 3
При доходе потребителя, равном M = 6 у.е., потребление некоторого блага составляет X = 45 ед. Известно, что скорость изменения спроса по доходу равна
Наибольшее значение объема потребления не превзойдет величины …
При доходе потребителя, равном M = 6 у.е., потребление некоторого блага составляет X = 45 ед. Известно, что скорость изменения спроса по доходу равна

Наибольшее значение объема потребления не превзойдет величины …
3 Кейс-задания: Кейс 2 подзадача 1
В процессе производства используются два вида ресурсов: капитал K и труд L. Функция выпуска имеет вид
на аренду фондов (капитала) и оплату труда выделено 80 у.е., стоимость аренды единицы фондов равна 4 у.е., ставка заработной платы 5 у.е.
При решении задачи на максимизацию объема выпуска функция Лагранжа имеет вид …
В процессе производства используются два вида ресурсов: капитал K и труд L. Функция выпуска имеет вид
на аренду фондов (капитала) и оплату труда выделено 80 у.е., стоимость аренды единицы фондов равна 4 у.е., ставка заработной платы 5 у.е.При решении задачи на максимизацию объема выпуска функция Лагранжа имеет вид …
4 Кейс-задания: Кейс 2 подзадача 2
В процессе производства используются два вида ресурсов: капитал K и труд L. Функция выпуска имеет вид
на аренду фондов (капитала) и оплату труда выделено 80 у.е., стоимость аренды единицы фондов равна 4 у.е., ставка заработной платы 5 у.е.
Наибольший объем выпуска достигается при значении L, равном …
В процессе производства используются два вида ресурсов: капитал K и труд L. Функция выпуска имеет вид
на аренду фондов (капитала) и оплату труда выделено 80 у.е., стоимость аренды единицы фондов равна 4 у.е., ставка заработной платы 5 у.е.Наибольший объем выпуска достигается при значении L, равном …
5 Кейс-задания: Кейс 2 подзадача 3
В процессе производства используются два вида ресурсов: капитал K и труд L. Функция выпуска имеет вид
на аренду фондов (капитала) и оплату труда выделено 80 у.е., стоимость аренды единицы фондов равна 4 у.е., ставка заработной платы 5 у.е.
Установите соответствие между значениями параметра a и наибольшим значением объема выпуска.
1. a = 1
2. a = 3
3. a = 5
В процессе производства используются два вида ресурсов: капитал K и труд L. Функция выпуска имеет вид
на аренду фондов (капитала) и оплату труда выделено 80 у.е., стоимость аренды единицы фондов равна 4 у.е., ставка заработной платы 5 у.е.Установите соответствие между значениями параметра a и наибольшим значением объема выпуска.
1. a = 1
2. a = 3
3. a = 5
Решение задачи Коши
имеет вид …
имеет вид …График функции
будет выпуклым вниз при …
будет выпуклым вниз при …9 Кейс-задания: Кейс 1 подзадача 1
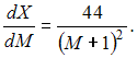
При доходе потребителя, равном M = 3 у.е., потребление некоторого блага составляет X = 35 ед. Известно, что скорость изменения спроса по доходу равна
Функция спроса по доходу выражается зависимостью …
При доходе потребителя, равном M = 3 у.е., потребление некоторого блага составляет X = 35 ед. Известно, что скорость изменения спроса по доходу равна

Функция спроса по доходу выражается зависимостью …
10 Кейс-задания: Кейс 1 подзадача 2
При доходе потребителя, равном M = 3 у.е., потребление некоторого блага составляет X = 35 ед. Известно, что скорость изменения спроса по доходу равна
Объем спроса при M = 10 равен …
При доходе потребителя, равном M = 3 у.е., потребление некоторого блага составляет X = 35 ед. Известно, что скорость изменения спроса по доходу равна

Объем спроса при M = 10 равен …
11 Кейс-задания: Кейс 1 подзадача 3
При доходе потребителя, равном M = 3 у.е., потребление некоторого блага составляет X = 35 ед. Известно, что скорость изменения спроса по доходу равна
Наибольшее значение объема потребления не превзойдет величины …
При доходе потребителя, равном M = 3 у.е., потребление некоторого блага составляет X = 35 ед. Известно, что скорость изменения спроса по доходу равна

Наибольшее значение объема потребления не превзойдет величины …
12 Кейс-задания: Кейс 1 подзадача 1
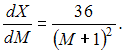
При доходе потребителя, равном M = 5 у.е., потребление некоторого блага составляет X = 30 ед. Известно, что скорость изменения спроса по доходу равна
Функция спроса по доходу выражается зависимостью …
При доходе потребителя, равном M = 5 у.е., потребление некоторого блага составляет X = 30 ед. Известно, что скорость изменения спроса по доходу равна

Функция спроса по доходу выражается зависимостью …
13 Кейс-задания: Кейс 1 подзадача 2
При доходе потребителя, равном M = 5 у.е., потребление некоторого блага составляет X = 30 ед. Известно, что скорость изменения спроса по доходу равна
Объем спроса при M = 11 равен …
При доходе потребителя, равном M = 5 у.е., потребление некоторого блага составляет X = 30 ед. Известно, что скорость изменения спроса по доходу равна

Объем спроса при M = 11 равен …
14 Кейс-задания: Кейс 1 подзадача 3
При доходе потребителя, равном M = 5 у.е., потребление некоторого блага составляет X = 30 ед. Известно, что скорость изменения спроса по доходу равна
Наибольшее значение объема потребления не превзойдет величины …
При доходе потребителя, равном M = 5 у.е., потребление некоторого блага составляет X = 30 ед. Известно, что скорость изменения спроса по доходу равна

Наибольшее значение объема потребления не превзойдет величины …
Точка максимума функции
равна …
равна …Площадь фигуры, ограниченной параболой
и осью Ох, равна …
и осью Ох, равна …17 Кейс-задания: Кейс 2 подзадача 1
В процессе производства используются два вида ресурсов: капитал K и труд L. Функция выпуска имеет вид
на аренду фондов (капитала) и оплату труда выделено 40 у.е., стоимость аренды единицы фондов равна 5 у.е., ставка заработной платы 4 у.е.
При решении задачи на максимизацию объема выпуска функция Лагранжа имеет вид …
В процессе производства используются два вида ресурсов: капитал K и труд L. Функция выпуска имеет вид
на аренду фондов (капитала) и оплату труда выделено 40 у.е., стоимость аренды единицы фондов равна 5 у.е., ставка заработной платы 4 у.е.При решении задачи на максимизацию объема выпуска функция Лагранжа имеет вид …
18 Кейс-задания: Кейс 2 подзадача 2
В процессе производства используются два вида ресурсов: капитал K и труд L. Функция выпуска имеет вид
на аренду фондов (капитала) и оплату труда выделено 40 у.е., стоимость аренды единицы фондов равна 5 у.е., ставка заработной платы 4 у.е.
Наибольший объем выпуска достигается при значении L, равном …
В процессе производства используются два вида ресурсов: капитал K и труд L. Функция выпуска имеет вид
на аренду фондов (капитала) и оплату труда выделено 40 у.е., стоимость аренды единицы фондов равна 5 у.е., ставка заработной платы 4 у.е.Наибольший объем выпуска достигается при значении L, равном …
19 Кейс-задания: Кейс 2 подзадача 3
В процессе производства используются два вида ресурсов: капитал K и труд L. Функция выпуска имеет вид
на аренду фондов (капитала) и оплату труда выделено 40 у.е., стоимость аренды единицы фондов равна 5 у.е., ставка заработной платы 4 у.е.
Установите соответствие между значениями параметра a и наибольшим значением объема выпуска.
1. a = 1
2. a = 3
3. a = 5
В процессе производства используются два вида ресурсов: капитал K и труд L. Функция выпуска имеет вид
на аренду фондов (капитала) и оплату труда выделено 40 у.е., стоимость аренды единицы фондов равна 5 у.е., ставка заработной платы 4 у.е.Установите соответствие между значениями параметра a и наибольшим значением объема выпуска.
1. a = 1
2. a = 3
3. a = 5
График функции
будет выпуклым вверх при …
будет выпуклым вверх при …Объем тела, полученного вращением вокруг оси Ох криволинейной трапеции, ограниченной параболой
и осью Ох, равен …
и осью Ох, равен …22 Кейс-задания: Кейс 2 подзадача 1
В процессе производства используются два вида ресурсов: капитал K и труд L. Функция выпуска имеет вид
на аренду фондов (капитала) и оплату труда выделено 90 у.е., стоимость аренды единицы фондов равна 3 у.е., ставка заработной платы 5 у.е.
При решении задачи на максимизацию объема выпуска функция Лагранжа имеет вид …
В процессе производства используются два вида ресурсов: капитал K и труд L. Функция выпуска имеет вид
на аренду фондов (капитала) и оплату труда выделено 90 у.е., стоимость аренды единицы фондов равна 3 у.е., ставка заработной платы 5 у.е.При решении задачи на максимизацию объема выпуска функция Лагранжа имеет вид …
23 Кейс-задания: Кейс 2 подзадача 2
В процессе производства используются два вида ресурсов: капитал K и труд L. Функция выпуска имеет вид
на аренду фондов (капитала) и оплату труда выделено 90 у.е., стоимость аренды единицы фондов равна 3 у.е., ставка заработной платы 5 у.е.
Наибольший объем выпуска достигается при значении K, равном …
В процессе производства используются два вида ресурсов: капитал K и труд L. Функция выпуска имеет вид
на аренду фондов (капитала) и оплату труда выделено 90 у.е., стоимость аренды единицы фондов равна 3 у.е., ставка заработной платы 5 у.е.Наибольший объем выпуска достигается при значении K, равном …
24 Кейс-задания: Кейс 2 подзадача 3
В процессе производства используются два вида ресурсов: капитал K и труд L. Функция выпуска имеет вид
на аренду фондов (капитала) и оплату труда выделено 90 у.е., стоимость аренды единицы фондов равна 3 у.е., ставка заработной платы 5 у.е.
Установите соответствие между значениями параметра a и наибольшим значением объема выпуска.
1. a = 1
2. a = 3
3. a = 5
В процессе производства используются два вида ресурсов: капитал K и труд L. Функция выпуска имеет вид
на аренду фондов (капитала) и оплату труда выделено 90 у.е., стоимость аренды единицы фондов равна 3 у.е., ставка заработной платы 5 у.е.Установите соответствие между значениями параметра a и наибольшим значением объема выпуска.
1. a = 1
2. a = 3
3. a = 5
по направлению
функции двух переменных
в точке
равна …
Тогда производная
равна …
в точке
равен …
в точке
вычисленное с помощью полного дифференциала, равно …

бесконечно малой является последовательность …