Кейс-задания: Кейс 1 подзадача 1
При доходе потребителя, равном M = 5 у.е., потребление некоторого блага составляет X = 30 ед. Известно, что скорость изменения спроса по доходу равна
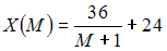
Функция спроса по доходу выражается зависимостью …
При доходе потребителя, равном M = 5 у.е., потребление некоторого блага составляет X = 30 ед. Известно, что скорость изменения спроса по доходу равна

Функция спроса по доходу выражается зависимостью …
• 

• 

• 

• 
