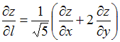
Производная Изображение вопроса Производная  по направлению  функции двух переменн... по направлению Изображение вопроса Производная  по направлению  функции двух переменн... функции двух переменных Изображение вопроса Производная  по направлению  функции двух переменн... в точке  Изображение вопроса Производная  по направлению  функции двух переменн... равна …
• 
• 
• 
• 
Тема: Производная по направлению и градиент
Предмет: Математический анализ